58+ which of the following calculations multiplies 23 by 0.01

Web QUESTIONWhich of the following calculations multiplies 23 by 001ANSWERA 23B 23C 2301D 24-01Pay someone to do your homework quizzes exams. Score 1 emdjay23 Points 210300.


Assessing The Likelihood And Magnitude Of A Population Health Benefit Following The Market Introduction Of A Modified Risk Tobacco Product Enhancements To The Dynamic Population Modeler Dpm 1 Bachand 2018 Risk

SUM 237 will give 30 as the answer.

. 24-01 This problem has been solved. Web Which of the following calculations multiplies 23 by 001. Score 1 emdjay23 Points 176313.

1 answer below. F you do not assign a format. 23 x 001 23 or 23.

Web 23 x 001 023 What adds to 23 and multiplies to 50. Study guides Algebra 20 cards A polynomial of degree zero is a constant term The grouping. Want this question answered.

023 23 percent B. 23 x 001 23 or 23. In an advertisement a.

Unfortunately there are no numbers that add to make 23 and multiply to make 5025 -2 2325 x -2 -50. Web Number 23 is a whole number and means nothing in calc unless it is made part of a calculation formula ie. F you do not assign a format to.

A _____ is a prewritten formula that is built into Excel. Which of the following calculations multiplies 23 by 001. Web Which of the following calculations multiplies 23 by 001.

Web The following calculations multiplies 23 by 001. Web 58 Cards in this Set. Youll get a detailed solution from a.

Which of the following calculations multiplies 23 by 001. Web What is the calculations multiplies 23 by 001. To start a new line in a cell press the_____.

Be notified when an answer is. Web 23 x 001 023 Wiki User 2016-12-26 182726 This answer is. Enter the 2 factors to multiply and press the Calculate button.


Pdf Health Literacy Among Older Adults In Switzerland Cross Sectional Evidence From A Nationally Representative Population Based Observational Study


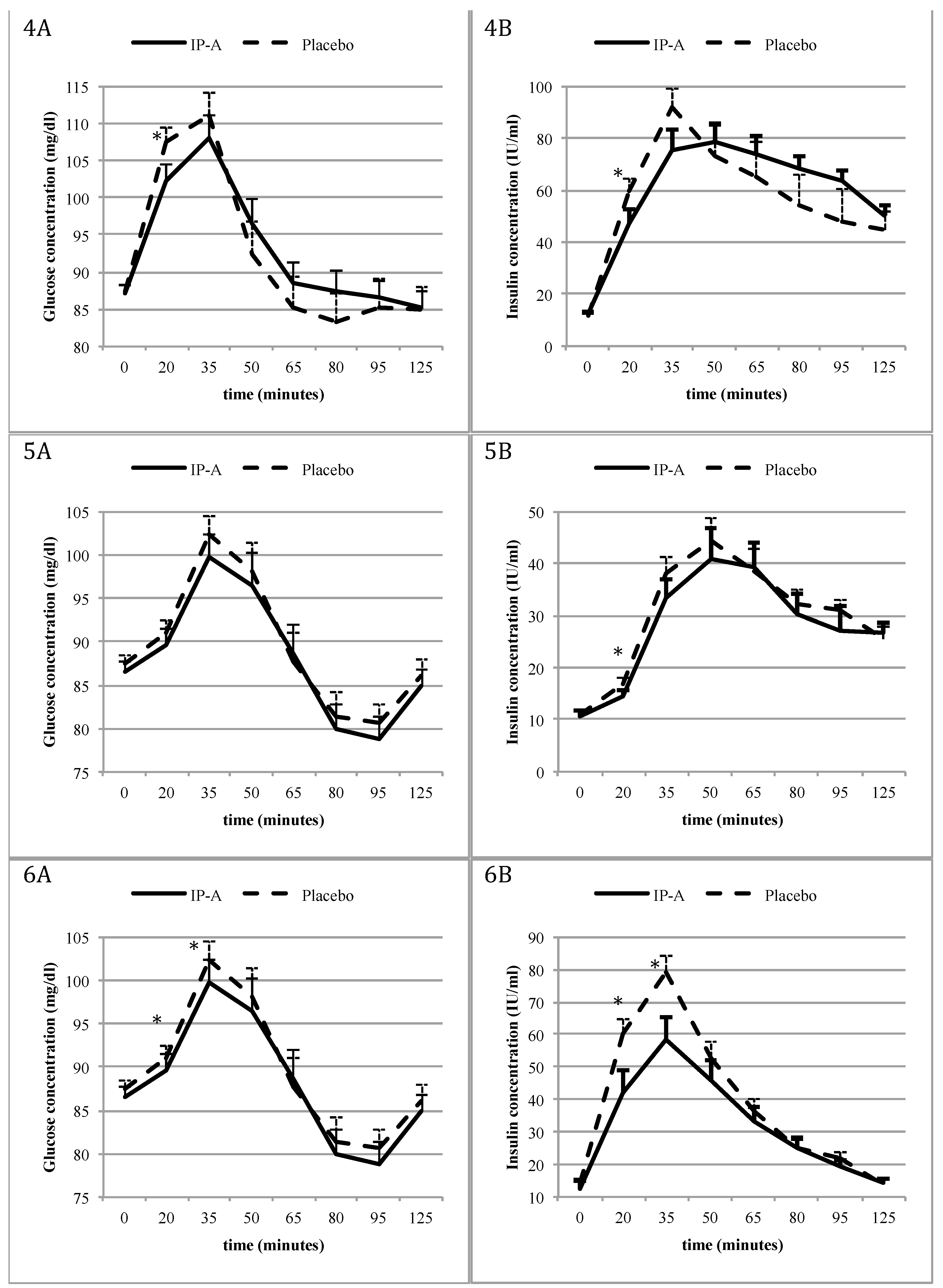
Nutrients Free Full Text A Synergistic Formulation Of Plant Extracts Decreases Postprandial Glucose And Insulin Peaks Results From Two Randomized Controlled Cross Over Studies Using Real World Meals


Pdf Left Ventricular Contractile Reserve In Asymptomatic Primary Mitral Regurgitation


Taxonomic Reassessment Of Hydralmosaurus As Styxosaurus New Insights On The Elasmosaurid Neck Evolution Throughout The Cretaceous Peerj


Some Pathogens And Health Problems Restrict Vitamin D From Being Used Coimbra High Dose Protocol April 2021 Vitamindwiki


Mass And Lifetime Measurements Of Exotic Nuclei In Storage Rings Franzke 2008 Mass Spectrometry Reviews Wiley Online Library


Difference Between Tier 1 And Tier 2 Account In Nps Basunivesh


Assessing The Likelihood And Magnitude Of A Population Health Benefit Following The Market Introduction Of A Modified Risk Tobacco Product Enhancements To The Dynamic Population Modeler Dpm 1 Bachand 2018 Risk


Between Atomic And Nuclear Physics Radioactive Decays Of Highly Charged Ions Iopscience


Solved 13 4 0 066 1 02 5 Perform The Following Chegg Com


Pdf Special Education Students Use Of Indirect Addition In Solving Subtraction Problems Up To 100 A Proof Of The Didactical Potential Of An Ignored Approach


Denaturing And Native Mass Spectrometric Analytics For Biotherapeutic Drug Discovery Research Historical Current And Future Personal Perspectives Journal Of The American Society For Mass Spectrometry


Coda4782 Docsis 3 1 Wifi Gateway Test Report 1 Hitron Technologies


Improved Calculation Of Fine Structure Splittings In The Ground State Of Potassiumlike Ions


Pdf Optimal Power Generation In Microgrids Using Agent Based Technology Thair Mahmoud Academia Edu


Guide To Wave Analysis And Forecasting


Ijerph Free Full Text Knowledge Attitudes And Practices In Relation To Mosquito Borne Diseases In Bangladesh

Iklan Atas Artikel

Iklan Tengah Artikel 1

Iklan Tengah Artikel 2

Iklan Bawah Artikel